Studylib
Documents Flashcards Chrome extension
Login
Upload document Create flashcards
Login
Flashcards Collections
Documents
Last activity
My documents
Saved documents
Profile
Foreign Language Math Science Social Science Business Engineering & Technology Arts & Humanities History Miscellaneous Standardized tests
  1. Math
  2. Applied Mathematics
Numerical Analysis
Dilution
Dilution
Galileo's Diluted Gravity Lab Report - Physics Experiment
Galileo's Diluted Gravity Lab Report - Physics Experiment
Dilo
Dilo
Dilatometry
Dilatometry
Digitimer Train/Delay Generator
Digitimer Train/Delay Generator
Digital Image Processing Instructor's Manual
Digital Image Processing Instructor's Manual
Digital Control System Analysis & Design Textbook
Digital Control System Analysis & Design Textbook
Digital Control System Analysis & Design Textbook
Digital Control System Analysis & Design Textbook
Digital Control System Analysis & Design 4th Edition Textbook
Digital Control System Analysis & Design 4th Edition Textbook
Digital's Multiprotocol Routing Software Design 1  Abstract
Digital's Multiprotocol Routing Software Design 1 Abstract
Digital technologies and mathematics education JMC Joint Mathematical Council
Digital technologies and mathematics education JMC Joint Mathematical Council
Digital Sound Synthesis by Physical Modelling
Digital Sound Synthesis by Physical Modelling
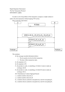
Digital Signature final project
Digital Signature final project
digital signature
digital signature
Digital Signal Processing On Embedded Processors M.Sandeep Sarma
Digital Signal Processing On Embedded Processors M.Sandeep Sarma
Digital Signal Processing for PET/SPECT
Digital Signal Processing for PET/SPECT
Digital Signal Processing - Delaware State University
Digital Signal Processing - Delaware State University
DIGITAL REPRESENTATIONS AND ANALYSIS OF DEFORMATIONS INDUCED IN MAP SUPPORTING MATERIALS
DIGITAL REPRESENTATIONS AND ANALYSIS OF DEFORMATIONS INDUCED IN MAP SUPPORTING MATERIALS
Digital Photography Syllabus Mrs. Tredinnick
Digital Photography Syllabus Mrs. Tredinnick
Digital Paper Presentation
Digital Paper Presentation
Digital Microfluidic Biochips: Towards Functional Diversity and More than Moore Krishnendu Chakrabarty
Digital Microfluidic Biochips: Towards Functional Diversity and More than Moore Krishnendu Chakrabarty
Digital Media Standards
Digital Media Standards
Digital Libraries on the Internet - favorite
Digital Libraries on the Internet - favorite
Digital Learning at
Digital Learning at
  • « prev
  • 1 ...
  • 1445
  • 1446
  • 1447
  • 1448
  • 1449
  • 1450
  • 1451
  • 1452
  • 1453
  • ... 1769
  • » next
Products
Documents Flashcards Extension Grammar checker Examplum - Context Dictionary
Support
Report Partners
© 2013 - 2026 studylib.net all other trademarks and copyrights are the property of their respective owners
DMCA Privacy Terms

Make a suggestion

Did you find mistakes in interface or texts? Or do you know how to improve StudyLib UI? Feel free to send suggestions. It's very important for us!

 

Suggest us how to improve StudyLib

(For complaints, use another form )

Input it if you want to receive answer

Rate us