Studylib
Documents Flashcards Chrome extension
Login
Upload document Create flashcards
Login
Flashcards Collections
Documents
Last activity
My documents
Saved documents
Profile
Foreign Language Math Science Social Science Business Engineering & Technology Arts & Humanities History Miscellaneous Standardized tests
  1. Business
  2. Management
Human Resource Management
Organizational Leadership
Business Law
Small Business Management
Project Management
Hospitality Management
Business Ethics
Sales
Business Information Systems
Strategic Financial Management Workbook: Capital Budgeting
Strategic Financial Management Workbook: Capital Budgeting
Ships' Maintenance Management (3-M) Manual - NAVSEA Instruction
Ships' Maintenance Management (3-M) Manual - NAVSEA Instruction
NAVAIR Technical Manual 00-25-100: Technical Manual Program
NAVAIR Technical Manual 00-25-100: Technical Manual Program
SPPA-T3000 Basic Engineering & Operations Training
SPPA-T3000 Basic Engineering & Operations Training
Research Design & Methodology: KRA Revenue Collection
Research Design & Methodology: KRA Revenue Collection
ASTL Conference Proceedings 2012: Science & Technology
ASTL Conference Proceedings 2012: Science & Technology
Management Textbook by Richard L. Daft
Management Textbook by Richard L. Daft
Fundamentals of Management Textbook: Concepts & Applications
Fundamentals of Management Textbook: Concepts & Applications
Vanderbilt Medical Center Bulletin 1999/2000
Vanderbilt Medical Center Bulletin 1999/2000
Management: Fourteenth Edition - Textbook by Richard L. Daft
Management: Fourteenth Edition - Textbook by Richard L. Daft
Air Force Airman Retraining Program AFI 36-2626
Air Force Airman Retraining Program AFI 36-2626
Siemens Three-Phase Induction Motors Catalog
Siemens Three-Phase Induction Motors Catalog
PTR Baler Manual: Operation, Safety & Maintenance Guide
PTR Baler Manual: Operation, Safety & Maintenance Guide
Free Government Grants & Loans: A Guide to Funding
Free Government Grants & Loans: A Guide to Funding
Military Ranks & Civilian Pay Grades: Abbreviations & Plans
Military Ranks & Civilian Pay Grades: Abbreviations & Plans
SkillsUSA History: Founding, Leadership, and Achievements
SkillsUSA History: Founding, Leadership, and Achievements
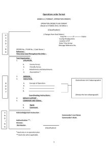
Operation Order (OPORD) Format - Military Planning
Operation Order (OPORD) Format - Military Planning
Task Force/Strike Team Leader Pre-Course Work & Quiz
Task Force/Strike Team Leader Pre-Course Work & Quiz
Communication Satisfaction Questionnaire (CSQ)
Communication Satisfaction Questionnaire (CSQ)
NYPi International Programs & Governance Report
NYPi International Programs & Governance Report
Personal Fitness Merit Badge Workbook
Personal Fitness Merit Badge Workbook
UMD User Guide: Sheppard Air Force Base Manpower
UMD User Guide: Sheppard Air Force Base Manpower
Iowa Teaching Standards & Criteria
Iowa Teaching Standards & Criteria
MGNREGA Operational Guidelines 2013: Rural Employment Guarantee
MGNREGA Operational Guidelines 2013: Rural Employment Guarantee
  • « prev
  • 1
  • 2
  • 3
  • 4
  • 5
  • 6
  • ... 12772
  • » next
Products
Documents Flashcards Extension Grammar checker Examplum - Context Dictionary
Support
Report Partners
© 2013 - 2026 studylib.net all other trademarks and copyrights are the property of their respective owners
DMCA Privacy Terms

Make a suggestion

Did you find mistakes in interface or texts? Or do you know how to improve StudyLib UI? Feel free to send suggestions. It's very important for us!

 

Suggest us how to improve StudyLib

(For complaints, use another form )

Input it if you want to receive answer

Rate us