Uploaded by nee1203

Study Selection Flowchart for Meta-Analysis

advertisement
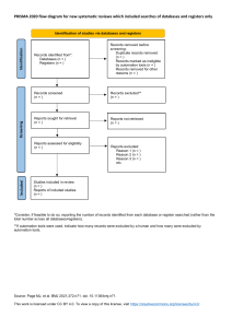
Identification
Screening
Pubmed
Embase
(n= 82)
(n= 70)
Google
Scholar
(n= 12)
RISS
KISS
(n= 2)
(n= 2)
Searching result
(n= 168)
Duplicates Removed
(n= 72)
Abstracts reviewed
based on inclusion and
exclusion criteria
Eligibility
Screening
Records excluded (n=81)
Screening result
(n= 96)
Full text articles assessed for eligibility (n=15)
Included in PEDro scale assessment
Included
(n=11)
Studies included in meta-anlaysis
(n=10)
 Different
intervention method
(n= 62)
 Not Korean and
English articles(n=1)
 Not full text (n=2)
 Different purpose
(n= 5)
 Different Outcome
measurement (n= 2)
 Not RCT design (n=5)
 Not low birth weight
infant (n= 4)
Full text excluded (n=4)
 Not full text (n=3)
 Different control
group intervention
method (n=1)
Different outcome
measurement (n=1)
Download