Uploaded by Tracy sieke

Fractions, Decimals, Ratio Checkpoint Math Questions

advertisement
solvedpapers.co.uk
Fractions, Decimals, Percentages, Ratio and Proportion – 2022 Oct Checkpoint Sec1 Math
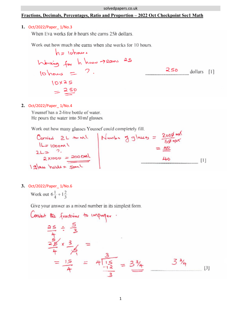
1. Oct/2022/Paper_ 1/No.3
2. Oct/2022/Paper_ 1/No.4
3. Oct/2022/Paper_ 1/No.6
1
solvedpapers.co.uk
4. Oct/2022/Paper_ 1/No.16
5. Oct/2022/Paper_ 1/No.25
6. Oct/2022/Paper_ 2/No.3
2
solvedpapers.co.uk
7. Oct/2022/Paper_ 2/No.7
8. Oct/2022/Paper_ 2/No.12
3
solvedpapers.co.uk
9. Oct/2022/Paper_ 2/No.14
4
solvedpapers.co.uk
10. Oct/2022/Paper_ 2/No.15
11. Oct/2022/Paper_ 2/No.24
5
solvedpapers.co.uk
12. Oct/2022/Paper_ 2/No.26
6
Download