Uploaded by 317-28-蔡侑庭

微积分练习:面积、体积、质心、微分方程

advertisement
一
、
工
手
一
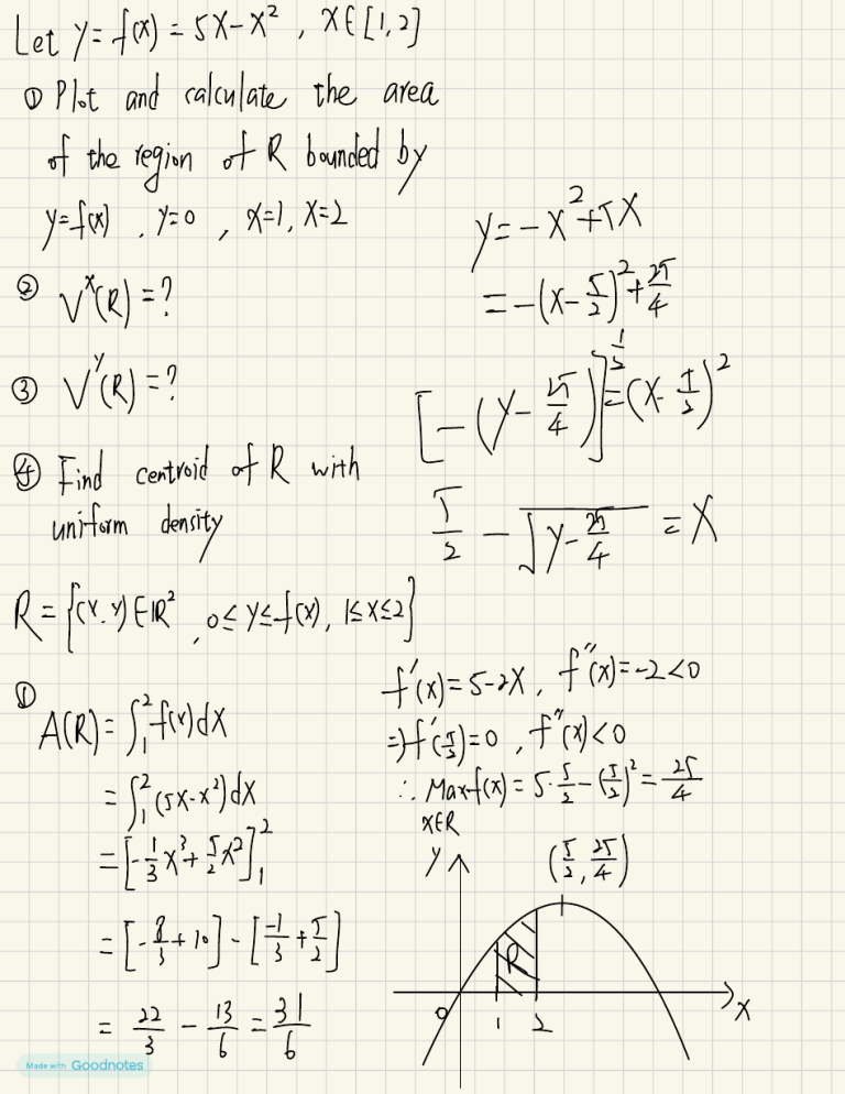
Lety f )
=
5X
(x
=
x
=
,
X
ε[ 1.2
calkulae the
oPlbt and
]
area
oftheregionofR boundedyb
Yf )
(x
=o
.
X 1 X 2
=
=
Y
,
,
VV( R) ?
②
=
=
- -年
X
1
V ( R) ?
火源非
=
③
[
Find centroid ofR with
④
式 空
uniformdensity
R |
=
—
)
[ * YGR
0
≤ Y
火 +(
y
,
{
xxydx
:
=
=~
10
0
B 63
=
2< 0
-
,
,
Maxf ( )
x =
f ( x< 0
5-
π
-]
=
式
(,
列
ㄨ叭
三
反
-
=
X
"
=
[ π+ ] [ 5 + ]
-
x
2
-
XER
,
=
"
f]
[ 5 年 5p]
=
]
x
=
(5
, 1 Kx
( )
f{ ) 5 X f
DA ( R) ff洲 dx
=
+X
x
=
八 ,
0
1
2
x
§
V( R)
] ifm π dx
=
=| i (txxyi π
=π 巡 +
]?
dx
25 x
比
[
- 80 +
00
=π (36 - 16
]-
[ k+ ]
-
]
π
)
= 20
④
”
河
x
1
珊
=
- xjg
Yi
M
(ƩcM -]g
鼠
(M ≥)g
=
江洲成 i
( H]adr )β xr
式 f( %)oxi β ) ≥
Ʃ
HH x% π
-
0
)
-
fixfiydx
pitmdx
二
臣
行
飛
非化 1 yfiifiwaxi
口
{ ix( rxxx E ?
β
π=
1
π
=
{i
( ]
,
=
=
xydx
{ i ( xx粉
j 片 lrxxklX
(喊 5 ]
,
[座 425] ?
1 wx
5
fifex) dx
… π
(+*
:
式
客
E
Eosimqω
E (t
) L I {t]
+
=
I 1 t ) R I I ( t) ?
=
=
,
E 0 sin (ωθ= 10 I {t ) + RoI ( t )
路 I= 占 sim ( tl
扛 [ t) +
ω
≈
仳
qlt )
t++ P (t ) I ( t ) q( t ]
=
stnolimear
oDE
)
ISqltHe微
SP ㄩ 屯
花比
{ 感 sni t ) e
ω
=
tc
e
口
二
。
。
卜
工
。
L
悲
.
L
_
ω
{
us (
ωt+ l 0 sin (etl
lodoP
是
=
+ Ro
+c
。
足
二
q{ t )
=
感 sin (at )
比 e
=
fimletle喜 dtt
=
-
V=
性
- 的e (ω f 闆 fesi ωtld
tcs (ω t ) +
V≡
以感 .
ietsim ω _ ωfesimlatlde
(
智
#
皆老aHt Lowrein
ω
R
∞
1
=
t , 代熙
+
/
=
恩
+( @ ]
和
舞 howouswthksimletlic
arp
e
+e
( ut )
智
t
)
sim [et
日
工
》
工
L
毅
E (t)
Q
E ( t)
F] =
LIt ) + ItR + 型
=
:
§ I{ t 街 + 千I (t )
I )=
I 街=λ e 入 λ=
t
QHC
E E
=
=
0
Eit ) 0
=
=
I (t ) =
5
C=
3 ( H
式 ( FI
A [ 1 + Cz
=
=λ
1
1
±↓ i - 12
q
+π i ] t
+
dA Bet
+
式
Kos t) - sim \做λ
(
( cas ( tftisim 爪] 造
et [ Acos( t ) + Bsim ( 不形 I
=
1 ±d 1
GeH-i) t
=
)
-
0
CieH
~
=
= 0
I (o ) = 0 , I ) = 5
et
=
B i (G Cz )
)
-
=
=
=
ea
F (t )
R I (次)
L
(t
λt
[ } + 性 λ+ 4 ] e
λt
"
( I ( t + RIi )+ VIt ]
"
=
”
J 0= 3
I (t ) = e
壯
Qi)
[ ) [ I+ RI) +
E
\
[zacosl 坊 Bzsin ]
+
(t
[A ^+貞 Cos ( u± - ] wheref = tam (影
"
-
=
δ
fit} e
t
fit
-etc
-
=
→
dAymret
athe
gt
↓
ABet
)
=
0
f " t ) et 30
=
↓
。
懿
F
=
Fz
=
mg KS
-
-
0
=0
<→ mg ks
=
ky ( i ) hodamp
F(tf =
左
=
Free
string Mass
- K{ t
/NetFortesyslem
_
{
=
Y fx),
θf
π< x <π
=
.
-
ffv g ε V
,
f (x oK π) X ) f R
+
,
:
=
>
,
R
]
c ε 1m
,
cffvcftgfv
,
is
Vector
space
dimV =∞
B l casx simxcosk sintx }
).
1
=
)
.
Uffv
f( )
cos ( nx )+ 忌
1a +
x =
0
a = ?
an ?
.
ClaimB [
.
=
<1
.
cos (nx
1
l 2 coscmxl
< 1 , sin (
=
ca ( mx ), sim( mx ) ,
G
)
1 ]
=π
t
.
.
… is orthonrmal basis
]
Revicd
,f
Hus( nx )
dx=[ 荒= [][]
]
=
0
π
sim (nx )
=
= .z
%
n
21 - as ( mx
=
π
)
.
所, ] π
nx列
1 Lsin ( nx )
1
bmsimimx
bn ?
=
0
一
竹
。
飛
飛
。
飛
V
>
亮simmx
)
cx =[] = [ ] [ 型 ]
蛋
-
=0
是
[ ( )d A
x
<∞
=
f
ci )
ffx) f ( )
=
x
f ( ) isevenfunstione
x
品tx fbfimclx
=2
p+
)
.
i
"f 品 fdx
% f ( ) ( x ff+ ) dx
+
=
=
x
品fuyfdm ) fx)
=
=
+
x c
=
-
dx
%flmdu + f %fx) dx
{ %fukdu %fx ) lx
+f
% fixxdx
u=
*
xu . du =
-
elx )
水
( ii |
f + x)
=
-
f( )
x
f ( ) is oaldfunction
x
品fmdx
=
0
星flx) dx
pf )
/ %f ( ) x /品fl) dx
=
=
=
+
x <
/ %f ( ) ( x %
x
+
- M
ffu) [ lu) = - X =λ=
{ %f ( ) dx % f @ du
x
+
=
{ %fdx - f %flulu
=
0
新 =|
(
|N elu )
=
=
{
f = . * { (x
f( )
o
B
{
1
[
1
=
=
ust
.
)
- L <<
…
f 10% f ( o
f
虎
dt
=π dx
2
sint , loskt ) , s t
的
…
)
,
)
悟
, s { )~ ]
邵
…
了
] ic
wthonmmalbasis
X< L
=
f ( x ) q0
.
-
-1+ 晨
a0
>
L ( 物 .(
<
ti
El
=
1
]
( x)
,
)
,
si 的( 号 π x 3
=
sin (是 π x) sin (π x )
,
=
} 1 lx
卡 xodx
L + - ELtc )
[
卡舞
=
= 位 mx
L
= { { 九( . cas ( π< l
L
cosl刃 Cos ( EX)
号
]
L
[ ]
xG i
( 是 x) dx
f )
xxL =卡 x sin
= Jap是 ) dx
=
%
xtEL ]
.i
L
s (
x+
=
=
-
L
]
πx
]
(
xGL[
λ
)
汽
L
一
f尖 mdx
也
tbusim (哄
os( 号 π x xGEL0
号 ) [os [是 Ex
cs ( x
bu
(
+ancos (答
1
< 1 , "> x
=<
Un
=
=
Gcos nt tbusmlntl
州 xt [ 1 L]
<
xtEuig
π< t <π
.
= a0
=
以
cdx
感
( πx
+ o+ (
是m
店
)
] [Eto ]
-
<ππ
和
xch
oortbommmal bgis 成
ci
-
了
< x
t =π x
)
f 性y
)( 哇少 , , (
,∞
. + \×+ k ) fy ,品 o)
=
L
.
=
f=
一
」》
》
〈
臣
》
》
〈
》
。
》
。
《
。
。
》
》
飛
《
《
V
+u
Download