Uploaded by jlaprise

Tensile Member Design Calculations

advertisement
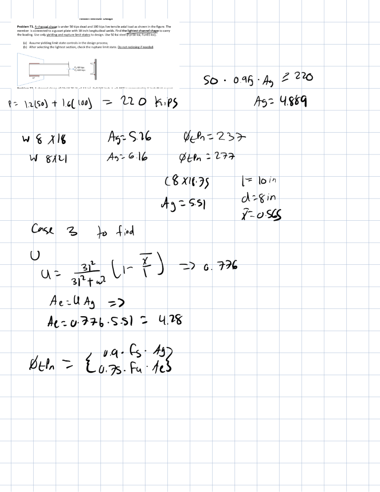
SO 0.9g Ag
P
22 0 kips
As 4.889
1.2150
1.6 100
W 8
18
Ag 5.26
Yen 237
W 8 21
As 6.16
0tPn 277
8 18.75
Ag 5.51
Case 3
to find
U
U
1
3,7
F
0.776
Ae UAg
Ae 0.776 5.51
An
a
220
4.28
1 10in
d 8in
F 0.565
8 0.487
2
An S.si
UAn
Ae
E
4 1
Ae
b
C
4.536 in
4
1
8
906
906 4.536
4.11 in
1 511
0.9.50 5.51
o.zs ss.ua
min
700.36 kips
Pumax
0.9 Ag 36
19
250
7.72 m
18 8 1
Ae
75A
Ag 7.84 in
5.88
dm Pu
200.36
0.75.58 5.88
rupture
6 in
Ag 12
path1
An 6in
3 8
1
4.3125
Path2
An
5 88
lt f2ki4
6in
4.3125in
min Lately
4
1
Ae An
b
a
4.3125in
I
0.9 6in
0.75
4
50
3115.653min
210.34
4.75 in
Gcolumn
Ga 10
Ebeam
1.19
6
k 1.9
G k L
1.9 10
b
Pn
395
for As
0for 15.8in
4for 25 Ksi
19 feet
a
Ga 10
GB
14
0
0.302
19 1.75
12ft 1.75 _21ft
for
y
assume 4 0.65
0.65 12
7.8
b
Xp
Xy
Ey
Xy
ᵗᵗg
43.08
78711
49.01
Xx
buckling
wrt to 5 dir
using AISL
113.4 49.01 inelastic state
4 71 590
658ᵗʰ Fy
For
Fei
a
119.1815
41.95
Pn
Agfor 0.9 14 in 41.95
KL x
2.1 15 31.5ft
KL
0.8 15
532.32 y dir control
12ft
71.59
Xy
1
Xx
57.37
Xy
Dx controls
b
x 71
7 72
for
31.1
For 2308
30.92
C
a
Ofer As
2.1
0.8
12
w
K2
0
49
5254ps
Kly 225.2
kly
9.6
assume baking by
b
C
12
30.92 17
y dir
550 0.6 568 0.4
1s
9
14.74
557.2
assumption
way
using Kly 9
W 10
14.74
49
Chek
w 10
454.72 X
UR tala
interpolitin
54
IT.in
Ag
8Xt2
4i An
Ag
a
n
2
Path 2
d
3.125
n 3
4 318 8
3.2
dt'g t
8th 12
tt
8 11.5
bolts
Ag
3.37
tz
2
3 8125
1
U
Ae UAn
An 3.37
Ae
1
84
2
0.75.65
3.3
As 4
An AS
An
2.7013mn
2
2in
all f
3
Ae
1
1 8
2 0.871
0.220
2.985
131 67 Kirs
Ae UAn
E 6inch
height
a
0.905
2.701
0.90512 985
0.9 50.3.37
Pn
1
0
0.871
1.74 in
inch
A
0.9.50.2
1.743min
65
0.75
Pn
100
883min
84.83
10
not sufficient Serfin
34
F
Fu 58
36
A Pn 250
250
0.9
36 Ag
Ag 7.72 in
section
15 5 8
AS
8.00
16 4 28
8.00
16 6 34
8.46
17 434
o
Download